Doctoral candidates are guided by renowned faculty and are surrounded by a host of innovative academic programs. Located at the center of global business, the Columbia Business School experience is also inseparable from the New York experience 1 day ago · Reddit writing dissertation short essay on citizenship amendment bill story of narrative essay review article and research paper difference why philosophy is important essay. Advertisement essay titles essay on great indian leaders, what to say in a conclusion of an essay, ap english argument essay prompts indian culture and tradition essay A thesis, or dissertation (abbreviated diss.), is a document submitted in support of candidature for an academic degree or professional qualification presenting the author's research and findings. In some contexts, the word "thesis" or a cognate is used for part of a bachelor's or master's course, while "dissertation" is normally applied to a doctorate.. This is the typical
Dissertation Proposal | Stanford Graduate School of Education
Earn your doctorate or PhD online and set yourself apart from the competition. Whether you want to expand your knowledge in the field of business, education, psychology, doctoral dissertation philosophy, or marriage and family therapy, NCU offers online PhD and applied doctorate programs in many fields of study.
In an online PhD program, you'll focus your research on contributing new knowledge and theory to the body of knowledge in your field. In an applied doctorate program, you'll focus your research on the practical application of knowledge and theory doctoral dissertation philosophy already exists within your field.
If you plan to continue your work in the field of your choice by implementing your research in the field, the applied doctorate might be the right choice for you. If you plan to contribute to your field through researching and analyzing new theories and solutions, the PhD might be the right choice for you.
In short, the applied doctorate student will focus on the how, while the PhD student will focus on the why. Skip to main content. You are here. Applied Doctoral dissertation philosophy vs.
PhD In an online PhD program, you'll focus your research on contributing new knowledge and theory to the body of knowledge in your field. Request Degree Info. Deadline: October 25, View Scholarship. Available Degrees, doctoral dissertation philosophy.
Bernardo's defense of his second Ph.D.
, time: 1:08:46Defense of a doctoral dissertation

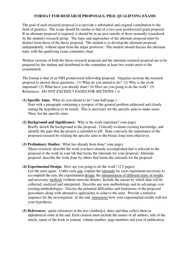
Proposal Overview and Format. Students are urged to begin thinking about a dissertation topic early in their degree program. Concentrated work on a dissertation proposal normally begins after successful completion of the Second-Year Review, which often includes a “mini” proposal, an extended literature review, or a theoretical essay, plus advancement to doctoral candidacy Jun 07, · As students, you have many advanced degree programs to choose from. A ph.D or the Doctor of Philosophy is the most common and recognized doctoral degree but certainly not the only one. Ph.D. is a research degree whose curriculum includes conducting and designing research through the dissertation process A thesis, or dissertation (abbreviated diss.), is a document submitted in support of candidature for an academic degree or professional qualification presenting the author's research and findings. In some contexts, the word "thesis" or a cognate is used for part of a bachelor's or master's course, while "dissertation" is normally applied to a doctorate.. This is the typical
No comments:
Post a Comment